The Friday Fillip
Eggs, today. Cooking and eating them, that is. And in particular the eternal struggle to boil the perfect egg (I leave aside the challenging business of poaching an egg properly.) And for the way to win that struggle I can do no better than to point you to khymos.org, a site on “molecular gastronomy and the science of cooking.” The formula for boiling an egg is clear:

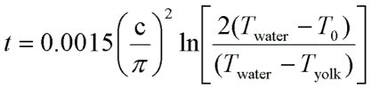
There’s hardly anything more to say on the subject, you might think. Well, for me, whose mathematics education approached (but never reached) zero, it’s important to explore some of the variables rather more thoroughly, and fortunately khymos.org does:
What is the size of the eggs? Where they taken directly from the fridge or were they room tempered? Where they put into cold or boiling water? If using cold water – do you start the timer when you turn on the heat or when the water starts to boil (and in that case, how much water do you use)?
It turns out that while these are all relevant, it’s the temperature of the end product that is crucial:
The doneness of the egg, depends on the temperature of the white and the yolk. Egg white start to coagulate in the range 62-65 °C. At these temperatures it is the most heat sensitive protein, the ovotransferrin, which constitutes 12% of the egg white, which coagulates. The major protein of egg white, ovalbumin, makes up 54% of the white and doesn’t coagulate until the temperature reaches 80 °C. The yolk begins to thicken around 65 °C and sets around 70 °C. Further heating to around 80-90 °C produces the crumbly texture typical of hard boiled eggs.
The problem, however, is that boiling an egg in water heats the white up more rapidly than it does the yolk, indeed overheats the albumen, with the consequence that your white is harder than you might like it. The more even heat of an oven is required:
Preheat your oven to 70 °C. Then heat 1 L of water to 70 °C, put the eggs in, cover with a lid and leave the pan in the oven for one hour. Unfortunately, the white is a little to soft and the yolk a little to hard, according to my taste. So I guess a higher temperature and less time will give perfect eggs.

But the truly perfect way, it turns out, is to keep your eggs at 65 °C for 6 hours or more: take a look at this entry in Eric Fooladi’s blog, Science and Fooducation, which khymos.org pointed me to.
If this is all too obvious and monomaniacal for you, you can stay with eggs and browse all of the pages tagged with egg in (appropriately) del.icio.us, where thousands of them wait for your attention. No yolk.




Comments are closed.